对称性破缺
自发对称性破缺与相变
- 量子多体系统:Hilbert space $V_{tot}=\otimes_{i=1}^{N}V_i$+ Hamiltonian $H=\sum_x{H_x}$. 态矢量是单体态矢量的张量积, 而Hamiltonian是单体Hamiltonian的直和.
Example:
$$ H=J\sum_{i=x,y,z}\sigma_{1}^{i}\sigma_{2}^{i} $$
此处实际是缩写, $\sigma_{i}^z=I\otimes \cdots\otimes I\otimes\sigma^z\otimes I\otimes\cdots\otimes I$
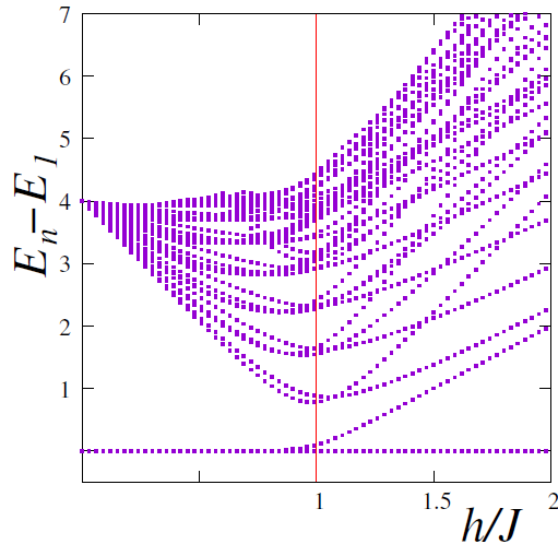
对于环 L上的横向Ising model:
$$ H=-J\sum_{i=1}^L \sigma_{i}^x \sigma_{i+1}^x -h \sum_{i=1}^L \sigma_{i}^z $$
从能谱看出h较小基态出现二重简并,简并的出现解除暗示了相变.

相变的刻画:对于参数化的哈密顿量 $H(g)$, 若 $g$改变在 $g_c$处 基态能量 $\epsilon_g=E_g/v$ 或算符期望出现了奇异性, 则 $g_c$处出现了相变.
- 有限系统无奇异性, 无限大系统才可能出现奇点;
- 可以利用自发对称性破缺机制产生相变;
利用自发对称性破缺,也可以半经典地理解奇异性的出现, 在对基态能量求变分若 $g_c$处 $\epsilon_c(g)’’$出现奇异, 则出现相变.

- 横场Ising模型的对称性破缺:
取试探波函数 $\ket{\Psi_\phi}=\otimes_i\ket{\psi_i},\ket{\psi_i}=\cos\frac{\phi}{2}\ket{\uparrow}+\sin\frac{\phi}{2}\ket{\downarrow}$, 估计的基态能量为:
$$
\begin{array}{l}\epsilon_h(\phi)=\langle\Psi_\phi|H|\Psi_\phi\rangle\\
=-\sum\langle\psi_i|\sigma_i^x|\psi_i\rangle\langle\psi_{i+1}|\sigma_{i+1}^x|\psi_{i+1}\rangle
-h\sum\langle\psi_i|\sigma_i^z|\psi_i\rangle\\=(2J\cos\frac\phi2\sin\frac\phi2)^2-h(\cos^2\frac\phi2-\sin^2\frac\phi2)=\sin^2\phi-h\cos\phi\end{array}
$$
存在
$\mathbb{Z}_{2}$对称性,
$\epsilon_h(\phi)=\epsilon_h(-\phi)$,
$U=\prod_{j}\sigma_j^z$ (on-site symmetry), $\color{red}{|\psi\rangle\not\propto U|\psi\rangle}$时对称性破缺.
- $\ket{\Psi_{\phi=0}}$ 作为基态——对称相;
- $\ket{\Psi_{\phi\neq 0}}$ 作为基态——对称破缺相.
由于 $\mathbb{Z}_{2}$ 对称性下 $\sigma_i^x\to-\sigma_i^x$, 可以选取 $\langle\sigma_i^x\rangle$作为序参量, 序参量的改变对应相变.
remark:考虑量子效应, 实际上有限大系统基态存在隧穿并不会真正地对称性破缺,基态并不完全简并, 能隙 $\Delta \sim e^{-L/\xi}$.
量子激发与准粒子
- 激发态与准粒子:对于多体系统 $H_0=\sum_x H_x$带有基态 $\ket{\Psi_{ground}}$, 准粒子激发对应 $\xi$附近出现非零局域能量密度;更严格地考虑在 $\xi_i$ 处能用局域势阱 $\delta H_{\xi_i}$可俘获的激发即准粒子激发, 此时 $\ket{\Psi_{\xi_i}}$对应有能隙的 $H_0+\sum_i \delta H_{\xi_i}$的基态.
- 局域激发与拓扑激发:
- $\xi_1$处的局域激发:若激发可以从基态由局域算符产生: $\ket{\Psi_{\xi_1,\xi_2,\cdots}}= O_{\xi_1}\ket{\Psi_{\xi_2,\cdots}}$;
- $\xi_1$处的拓扑激发:非局域激发即拓扑激发.
Example: 1D横场Ising模型,基态设为:
$$ \left|{\Psi_0}\right\rangle =|\uparrow\uparrow\uparrow\uparrow\uparrow\uparrow\uparrow\uparrow\uparrow\uparrow\uparrow\uparrow> $$
则一个三粒子激发即:
$$ |\Psi_{\xi_1\xi_2\xi_3}\rangle =|\uparrow\uparrow\downarrow\uparrow\uparrow\uparrow\downarrow\downarrow\downarrow\uparrow\uparrow\uparrow> \ $$
$\xi_1$处局域激发(自旋翻转产生激发), $\xi_{2,3}$处拓扑激发(畴壁产生激发), 可由弦算符描述 ${W_{\xi_2\xi_3}=\prod_{i=\xi_2}^{\xi_3}\sigma_i^x}$.
Example: 1D spin dimmer state, 系统带有 $SO(3)$对称性, 基态由自旋单态构成spin-dimmer,此时平移对称性破缺. $$ \begin{aligned} &(\uparrow\downarrow)(\uparrow\downarrow)(\uparrow\downarrow)(\uparrow\downarrow)(\uparrow\downarrow)(\uparrow\downarrow)(\uparrow\downarrow) \\ &\cdots (\uparrow\downarrow)(\uparrow\downarrow)(\uparrow\downarrow)(\uparrow\downarrow)(\uparrow\downarrow)(\uparrow\downarrow)(\uparrow\downarrow)\cdots \end{aligned} $$ 局部激发=自旋-1激发:
$$ (\uparrow\downarrow)(\uparrow\downarrow)(\uparrow\downarrow)\uparrow\uparrow(\uparrow\downarrow)(\uparrow\downarrow)(\uparrow\downarrow)(\uparrow\downarrow) $$
拓扑激发=自旋-1/2激发(spinon):
$$ (\uparrow\downarrow)(\uparrow\downarrow)\uparrow(\uparrow\downarrow)(\uparrow\downarrow)(\uparrow\downarrow)\uparrow(\uparrow\downarrow)(\uparrow\downarrow) $$
- 2D Spin liquid without symmetry breaking:

- Spinon实验测量:domain wall有$2J$能隙,但自旋翻转(等价于成对domain wall)对应局部算符测量的 $4J$能隙;中子散射作为局部算符翻转自旋, 只能测量 $4J$能隙(测量局部激发);而比热 $C\sim e^{-\Delta \beta}$ 可以测量拓扑激发.